Định vị sự cố bằng sóng lan truyền được chứng minh là một phương pháp chính xác và tin cậy để xác định vị trí sự cố trên đường dây truyền tải dài. Dù được tích hợp vào rơle bảo vệ đường dây hiện đại hoặc các thiết bị định vị sự cố chuyên dụng, chúng đều cung cấp thông tin hữu ích cho người vận hành và kỹ thuật viên. Việc thí nghiệm và kiểm chứng sự vận hành chính xác của các thiết bị này là một nhiệm vụ đầy thách thức và hầu như không được thực hiện trong khi chạy thử nghiệm. Mặc dù điều này có thể chấp nhận được đối với bộ định vị sự cố thuần túy, các thế hệ rơle bảo vệ mới sẽ sử dụng sóng lan truyền để xác định sự cố và cắt phù hợp.
Sử dụng cách tiếp cận mới, các thiết bị thí nghiệm bảo vệ truyền thống có thể thực hiện các thí nghiệm trên tại hiện trường. Do đó, các xung sóng lan truyền được xếp chồng với tần số thấp nhưng tín hiệu dòng điện lớn được sử dụng cho thí nghiệm bảo vệ truyền thống. Việc đặt (bơm) điện áp và dòng điện vào cả 2 đầu đường dây được đồng bộ thời gian với độ chính xác cực cao bằng đồng hồ GPS ở cả 2 đầu. Khi phần mềm điều khiển đang được chạy trên chỉ một PC, các sự cố ở bất kỳ vị trí nào trên đường dây có thể được mô phỏng, sự phản ứng lại của thành phần bảo vệ và bộ định vị sự cố có thể kết hợp quan sát và đánh giá cùng lúc. Bài báo cũng sẽ đưa ra cái nhìn tổng quan về thách thức thí nghiệm rơle tác động dựa trên việc phân tích chuyên sâu về sóng lan truyền.
Giới thiệu
Nguyên lý sóng lan truyền trên đường dây truyền tải được biết đến trong ngành điện cách đây hàng thập kỷ. Tuy nhiên, hầu hết các thiết bị bảo vệ số hiện nay sử dụng các thành phần dựa trên góc pha và thuật toán dựa vào số lượng pha và tổng trở cho bảo vệ và định vị sự cố, tương tự như thiết bị điện cơ thực hiện trong quá khứ. Nhưng ngày nay, những tiến bộ trong tốc độ tính toán và xử lý tín hiệu trong rơle số mở ra những khả năng mới cho những thuật toán trong miền thời gian. Cùng với sự đồng bộ thời gian chính xác của các thiết bị phân tán trong toàn bộ hệ thống điện, khả năng bảo vệ và định vị sự cố ngày càng nhanh và chính xác hơn.
Đối với các kỹ sư bảo vệ, người thực hiện vận hành thử nghiệm và duy trì hoạt động của các thiết bị mới này tại hiện trường sẽ phát sinh nhiều vấn đề. Với các thí nghiệm truyền thống bằng cách cấp điện áp và dòng điện có góc pha ổn định là không khả thi để kiểm tra sự làm việc phần tử rơle trong miền thời gian, ví dụ như các thành phần sóng lan truyền. Ngoài ra, đối với hệ thống bảo vệ, việc sử dụng thông tin đồng bộ thời gian chính xác từ nhiều điểm, việc vận hành thử nghiệm phải cho phép mô phỏng hoặc tạo các sự cố với thiết bị thí nghiệm bảo vệ đồng bộ thời gian với cấp chính xác về thời gian ít nhất đạt được như các các thiết bị (đối tượng) được thử nghiệm.
Nguyên lý cơ bản của sóng lan truyền
Khi sự cố trên đường dây xuất hiện bất cứ lúc nào ngoại trừ thời điểm điện áp qua điểm 0 sẽ hình thành một sóng lan truyền, nó sẽ truyền từ điểm sự cố tới cả 2 đầu của đường dây với tốc độ gần bằng tốc độ ánh sáng. Nguyên lý này được chỉ ra trên Hình 1 với một đường dây truyền tải đơn giản khi một sự cố xuất hiện trên đường dây.

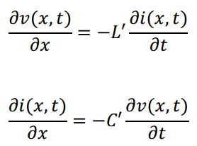
Sóng lan truyền có thể suy ra như kết quả của hệ phương trình vi phân tuyến tính cho đường dây truyền tải. Đối với một đường dây truyền tải có tổn thất, cặp phương trình vi phân từng phần dưới đây mô tả điện áp và dòng điện trên đường dây như sau:

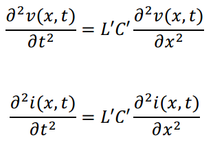
Trong đó, L’ là điện cảm của đường dây trên mỗi đơn vị và là điện dung trên mỗi đơn vị. Chúng có thể kết hợp với nhau trong phương trình sóng (Phương trình D’Alembert) dưới đây:

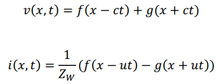
Phương pháp chung của phương trình sóng có thể biểu thị như là một tổng (xếp chồng) một sóng lan truyền f về phía trước (hướng thuận) và g theo hướng ngược lại:

Trong đó c là tốc độ truyền sóng và zw là tổng trở đặc tính của đường dây. Trong trường hợp một đường dây truyền tải gặp tổn thất, các phương trình phải xem xét cả tổn thất điện trở và cả tổn thất điện dẫn. Xem chi tiết trong mục [1] và [2] hoặc bất kỳ tài liệu nâng cao nào khác có liên quan về kỹ thuật điện.
Tại các điểm đầu và cuối đường đây sóng lan truyền đến gây nên sự thay đổi đột ngột điện áp và dòng điện, có thể nhận biết được bởi xung tần số cao. Các thiết bị bảo vệ hoặc bộ định vị sự cố sử dụng thuật toán riêng để xác định thời gian đến của sóng lan truyền. Từ thời gian trễ của thời gian tới được đo lường, vị trí sự cố có thể tính toán dễ dàng với độ chính xác cao (lên tớn 300m, tương đương với một khoảng cột điện).
Do hiệu ứng phân tán, hình dạng sóng hơi bị kéo dài khi truyền đi dọc theo chiều dài phương truyền đường dây. Điều này cần phải tính đến bởi các thiết bị bảo vệ khi gán nhãn thời gian của sóng đến. Bất cứ khi nào sóng lan truyền chạm đầu cực của một đoạn đường dây (hoặc vị trí điểm sự cố), một phần sóng sẽ truyền sang môi trường mới, một phần bị phản xạ lại và một phần sẽ bị hấp thụ. Khi đó cực tính phản xạ của xung sóng lan truyền bị đảo ngược, như được chỉ ra ở Hình 2. Đối với sóng lan truyền hiện tại, cực tính của xung cũng sẽ phụ thuộc vào chiều của sóng lan truyền qua máy biến dòng (CT).

Sơ đồ truyền của sóng tới và sự phản xạ của chúng thường được mô phỏng bằng sơ đồ mạng tinh thể Bewley, như trong Hình 3. Độ dốc của đường truyền tỉ lệ với vận tốc truyền sóng trên đường dây. Đối với các môi trường truyền tải khác nhau, ví dụ như kết hợp cấu trúc liên kết đường dây trên không và cáp lực, dù vận tốc truyền sóng khác nhau có thể hiển thị trên cùng một sơ đồ.

Nếu cấu trúc liên kết của hệ thống điện trở nên phức tạp hơn, ví dụ như nhiều nút hơn, các đường dây nối tiếp và song song, các thuật toán trong các thiết bị cần phải phân biệt sóng lan truyền phản xạ từ nhiều điểm khác nhau với sự không liên tục trong cấu trúc liên kết. Đôi khi điều này khá khó khăn và trong thực tế rất khó để đưa ra quyết định đáng tin cậy như vậy, vì ngay cả các chi tiết nhỏ trong mạch có thể gây ra phản xạ, do đó một vài thuật toán mạnh chỉ dựa vào các sóng lan truyền đầu tiên được phát hiện. Một ví dụ như trong Hình 4, không dễ phân biệt một sóng lan truyền, được phản xạ từ điểm sự cố trên đường dây bảo vệ trở về điểm đầu (local end) đường dây này, với sự phản xạ của một đường dây phía trước theo chiều ngược lại (hướng nghịch) hoặc sự phản xạ từ điểm cuối (remote end) của đường dây.

Đối với những thiết bị nhị thứ, việc phát hiện sóng lan truyền có khả năng thực hiện trên các đầu thứ cấp của các máy biến dòng điện (CTs) và các máy biến điện áp (VTs). CTs thông thường có một băng thông đủ lớn để cho phép phát hiện tin cậy xung sóng lan truyền trên đầu vào dòng thứ cấp của thiết bị. Đối với VTs và đặc biệt với máy biến điện áp kiểu tụ (CVTs hoặc CCVTs), sóng lan truyền tăng ở mạch thứ cấp khó phát hiện hơn, do đó một số nguyên lý của phần tử sóng lan truyền chỉ dựa vào sóng lan truyền dòng điện (đối với CVTs và CCVTs chỉ điện dung ký sinh cho phép dẫn theo một đường riêng các tần số cao). Nhưng trong tương lai, các bộ lọc điện áp và dòng điện mới có thể có khả năng cung cấp hành vị truyền động tốt hơn cho tín hiệu tần sồ cao.
Phần tử bảo vệ và định vị sự cố dựa vào sóng lan truyền có một số lợi thế so với các phần tử dựa vào phasor. Khi tính toán vị trí sự cố dựa vào việc đo lường thời gian chênh lệch giữa thời gian tới của các xung sóng lan truyền khác nhau, có khả năng xác định vị trí sự cố với độ chính xác cao. Ngày nay có thể dễ dàng đo chính xác thời gian với thiết bị trong trạm biến áp số, ngay cả trong số các thiết bị phân tán khác nhau, có thể đồng bộ thời gian sử dụng một tham chiếu thời gian chung.
Đường truyền của sóng lan truyền không bị ảnh hưởng bởi việc bù nối tiếp của đường dây truyền tải dài, bất cứ nơi nào chúng được lắp đặt (việc bù nối tiếp đối với các phần tử đo dựa trên tổng trở là một thách thức lớn). Và sóng lan truyền không chỉ xảy ra trên đường truyền tải xoay chiều. Nguyên lý cũng có thể được áp dụng cho mạng lưới cao áp 1 chiều (HVDC), nơi mà vị trí sự cố không thể dựa vào tổng trở.
Khi vận tốc truyền sóng đạt đến tốc độ ánh sáng, thông tin về sự cố được nhận tại điểm cuối đường dây nhanh nhất có thể và có thể xử lý ngay lập tức. Đối với phần tử dựa vào phasor, cửa sổ dữ liệu của một chu kỳ tần số hệ thống điện là yêu cầu cần thiết để có được các giá trị pha tin cậy. Do đó, đối với việc ra lệnh tác động từ rơle bảo vệ trong tương lai dựa vào thông tin từ sóng lan truyền là có thể và cho phép thời gian tác động chỉ vài ms.
Sử dụng sóng lan truyền cho định vị sự cố
Những gì thiết lập và triển khai tốt trong nhiều thiết bị tại hiện trường trong nhiều năm qua là ứng dụng sóng lan truyền để định vị sự cố chính xác trên đường dây truyền tải. Cả thiết bị định vị sự cố chuyên dụng và cả chức năng tích hợp trong rơle bảo vệ đều tính toán vị trí của sự cố chính xác hơn so với các nguyên lý dựa trên tổng trở.
Tất cả các thuật toán để định vị sự cố dựa vào tổng trở biểu kiến khi nhìn vào đường dây có độ chính xác hạn chế gây ra bởi sai số đo lường pha điện áp và dòng điện và ảnh hưởng bởi rất nhiều yếu tố, rất khó để loại bỏ, chẳng hạn như tổng trở sự cố (điện trở hồ quang), điều kiện tiến hành tại điểm đầu và cuối đường dây, dòng tải siêu áp (khi đóng không tải đường dây dài điện áp cao), điều kiện nối đất và hỗ cảm tương hỗ của 2 đường dây song song. Ngoài ra, chúng còn phụ thuộc vào việc cài đặt chỉnh định chính xác cho tổng trở đường dây, đối với cả thành phần thứ tự thuận và thứ tự không, phải tính toán chính xác hoặc xác định với phép đo tổng trở đường dây sơ cấp.
Định vị sự cố từ 2 đầu dựa vào sóng lan truyền
Định vị sự cố một cách rõ ràng và mạnh mẽ nhất theo sóng lan truyền là dựa vào nguyên lý 2 điểm như ở Hình 5 và được ứng dụng trong nhiều thiết bị định vị sự cố và thiết bị bảo vệ (xem [3] và [4] để biết thêm chi tiết)

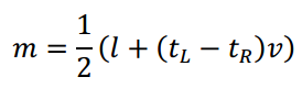
Thời gian tới của sóng lan truyền ở cả 2 đầu của đường dây được so sánh và vị trí sự cố m tính theo công thức dưới đây:
![]()
Trong đó l là chiều dài đường dây; và là thời gian tới của sóng lan truyền tới điểm đầu và cuối đường dây tương ứng và v là vận tốc truyền sóng. Vị trí tính toán chỉ phụ thuộc vào thời gian tới chính xác của sóng lan truyền tới được phát hiện và chiều dài chính xác của đường dây truyền tải. Ngày nay, việc đồng bộ thời gian chính xác của thiết bị bảo vệ và thiết bị định vị sự cố có khả năng đạt được sử dụng hệ thống định vị toàn cầu GPS dựa vào tham chiếu thời gian trên cả 2 điểm đầu cuối hoặc sự đồng bô sử dụng một mạng lưới dựa vào đồng hồ chủ (grandmaster clock), phân phối thời gian sử dụng giao thức thời gian chính xác (PTP) IEEE 1588 trên mạng Ethernet trong trạm biến áp.
Đối với một định vị sự cố ngoại tuyến (offline), nhãn thời gian tới từ cả 2 điểm cần được thu thập để thực hiện tính toán. Thời gian tới của sóng lan truyền khác nhau có thể căn chỉnh trong sơ đồ mạng lưới tinh thể Bewley thủ công hoặc bằng một công cụ phần mềm tự động, nơi vị trí sự cố có thể tính toán và xác minh. Nguyên lý này thậm chí có thể mở rộng cho đường dây 3 đầu cuối hoặc cấu trúc đường dây liên kết đa điểm.
Đối với định vị sự cố trực tuyến (online), được triển khai trong rơle bảo vệ, nhãn thời gian tới được truyền đến điểm cuối đường dây ngay lập tức chủ yếu bằng cách sử dụng các kênh truyền thông tin hiện có, vốn đã được sử dụng song song ví dụ như cho bảo vệ so lệch đường dây. Trong một rơle bảo vệ, thông tin định vị sự cố dòng truyền có thể tăng cường với nhiều thông tin bổ sung từ thuật toán định vị sự cố dựa vào tổng trở, sao cho một kết luận tin cậy và chính xác được đưa vào bản ghi sự cố hoặc gửi lên trung tâm điều khiển.
Định vị sự cố từ một đầu dựa vào sóng lan truyền
Định vị sự cố từ một điểm dựa vào sóng lan truyền không cần thông tin từ điểm cuối của đường dây để tính toán vị trí sự cố và do đó đối với định vị sự cố trực tuyến thậm chí có thể hoạt động mà không cần kênh thông tin giữa các thiết bị. Vị trí được tính toán dựa vào thời gian tới của sóng lan truyền đầu tiên và sóng phản xạ đầu trở từ điểm sự cố như được chỉ ra trên Hình 6.

Công thức đơn giản sau có thể sử dụng để tính toán vị trí sự cố m:
![]()
Trong đó: là thời gian tới của sóng lan truyền tới đầu tiên, là nhãn thời gian của sóng phản xạ đầu tiên phản xạ lại từ điểm sự cố và v là tốc độ truyền sóng. Tuy nhiên, thiết bị bảo vệ phải phân biệt được sóng phản xạ từ vị trí sự cố với các sóng phản xạ khác, ví dụ như một đường dây ngắn ngay sau nó được hiển thị trong Hình 3. Điều này có thể được thực hiện dựa trên thông tin định hướng dựa vào cực tính của cả sóng lan truyền dòng điện và điện áp hoặc từ thông tin cấu trúc liên kết phức tạp hơn, thu thập được từ việc chụp sóng lan truyền trong quá trình đóng điện đường dây (xem [5] để biết chi tiết). Mặt khác, việc tính toán theo phương pháp định vị từ một điểm độc lập với tổng chiều dài chính xác của đường dây và do đó không gây ra sai số do sự thay đổi chiều dài đường dây bởi độ võng dây dẫn.
Thách thức đối với việc thí nghiệm và chạy thử nghiệm phần tử sóng lan truyền
Đối với thí nghiệm và chạy thử của các phần tử dựa trên sóng lan truyền, điều cần thiết là mô phỏng hoặc tạo hiện tượng quá độ, xuất hiện trong một số sự kiện hệ thống điện nhất định, như sự cố trên đường dây truyền tải được bảo vệ. Khi hiện tượng quá độ bao gồm tín hiệu tần số cao và xuất hiện với các điểm chính xác cao đúng lúc, thiết bị thí nghiệm phải cho phép mô phỏng và đưa các tín hiệu đó đến các thiết bị (đối tượng) được thử nghiệm.
Đối với mô phỏng ngoại tuyến (offline) hiện tượng sóng lan truyền trên máy tính, có rất nhiều phần mềm mô phỏng tốt (như phần mềm chương trình quá độ điện từ EMTP), có khả năng mô phỏng sự truyền tín hiệu trên đường dây truyền tải trong miền thời gian chính xác và tốc độ lấy mẫu đủ cao bao gồm các thành phần tần số cao liên quan. Mặc dù khá khó khăn để mô phỏng lại và đặt tất cả các thông số cần thiết chính xác để thu được kết quả gần giống với thực tế. Ngoài ra, hầu hết các chương trình hiện tại có các cài đặt và thuật toán mô phỏng khác nhau, do đó khó có được kết quả tin cậy và so sánh được với nhau.
Việc mô phỏng chính xác với tốc độ lấy mẫu cao như vậy tốn khá nhiều thời gian và đòi hỏi nhiều bộ nhớ nếu thực hiện mô phỏng trong thời gian dài. Thực tế, nó chỉ có thể thực hiện trong thời gian ngắn cho một sóng lan truyền đơn giản (từ vài ms đến 1s).
Kết quả của mô phỏng ngoại tuyến như vậy sau đó có sẵn dưới dạng tín hiệu mẫu dưới dạng điện áp và dòng điện (như trong định dạng COMTRADE) với tốc độ lấy mẫu cao tương ứng và có thể sử dụng cho điều tra và phân tích ngoại tuyến sau này. Trong quá trình phát triển và trong phòng thí nghiệm, có thể bơm tín hiệu băng thông cao như vậy vào thiết bị bảo vệ và định vị sự cố bằng cách trực tiếp sử dụng đầu vào tín hiệu tương tự năng lượng thấp của thiết bị và bỏ qua đấu nối CT/VT truyền thống (xem [6])
Nhưng với thiết bị thí nghiệm bảo vệ có sẵn, việc đưa tần số quá độ như vậy vào đầu vào CT/VT thông thường là điều không thể thực hiện trong hiện tại, vì các bộ khuyếch đại điện áp và dòng điện của bộ thử nghiệm này có băng thông (tần số) bị hạn chế. Trong các thiết bị bảo vệ, các tín hiệu cho phần tử sóng lan truyền được lấy mẫu với tốc độ lấy mẫu khoảng 1MHz hoặc cao hơn. Do đó, tín hiệu mô phỏng phải có băng thông thậm chí cao hơn tốc độ lấy mẫu. Nhưng bộ khuếch đại được sử dụng cho việc tạo tín hiệu trạng thái ổn định cho đầu vào điện áp 100V và dòng điện 1A/5A trên thiết bị bảo vệ, khi được kết nối với CTs và VTs trong khi vận hành, có dải băng thông (dải tần số) chỉ vài kHz.
Phương pháp khả thi
Một phương pháp khả thi khi thử nghiệm thực tế phần tử sóng lan truyền dựa vào mô phỏng riêng biệt các xung sóng lan truyền tần số cao. Bằng một thiết bị thí nghiệm tạo tín hiệu cụ thể, có khả năng tạo ra xung sóng lan truyền với thời gian chính xác cho đầu vào dòng điện hoặc/và điện áp, có khả năng mô phỏng phần tử sóng lan truyền trong thiết bị bảo vệ và định vị sự cố được thí nghiệm và kiểm chứng chính xác thời gian tới và thuật toán định vị sự cố.
Việc tạo sóng lan truyền hơi khác một chút so với đầu vào điện áp và dòng điện. Ví dụ như đầu vào dòng điện, một phương pháp đơn giản là xả một tụ điện đã tích điện từ trước vào đúng thời điểm. Mặc dù vậy mạch chi tiết và đấu nối tới đầu vào thiết bị bảo vệ phải được thiết kế cẩn thận và đáp ứng được tải đầu vào của đầu vào thiết bị. Cuối cùng, độ dốc của tín hiệu phải đủ dốc, để thiết bị được thí nghiệm có thể xác định được chính xác thời gian đến.
Để có thể mô phỏng các trường hợp các nhau với sóng lan truyền, nó phải có khả năng điều khiển cực tính các xung cũng như thời gian. Biên độ của sóng không dễ dàng để điều khiển, vì nó phụ thuộc vào tải và mạch đấu nối. Nhưng những thiết bị sóng lan truyền không thể dựa vào biên độ tuyệt đối của tín hiệu sóng lan truyền, vì nó phụ thuộc vào nhiều yếu tố khác nữa. Đối với các trường hợp phức tạp hơn, thậm chí các xung liên tiếp với độ trễ thời gian chính xác giữa chúng là bắt buộc, ví dụ như mô phỏng sự phản xạ của sóng lan truyền.
Đối với một số thiết bị giám sát tín hiệu sóng lan truyền, chỉ cần tạo xung sóng lan truyền, mà không có bất kỳ tín hiệu cơ bản hoặc băng thông thấp có ý nghĩa nào, đủ để thí nghiệm chức năng sóng lan truyền. Đối với các thiết bị khác, có thể cấu hình các cài đặt tới một số chế độ cụ thể, chỉ chấp nhận tín hiệu với xung sóng lan truyền. Mặc dù vậy các kỹ sư bảo vệ không muốn cấu hình lại tại hiện trường cho mục đích duy nhất là thí nghiệm và đối với một số thiết bị, điều này là hoàn toàn không thể.
Một phương pháp mới đã được thực hiện gần đây là trộn (xếp chồng) các xung sóng lan truyền cụ thể vào tín hiệu dòng điện hoặc điện áp băng thông thấp hoặc cơ bản được sử dụng cho thí nghiệm phần tử bảo vệ truyền thống. Do đó, các tín hiệu từ đầu ra bộ khuyếch đại của bộ thí nghiệm bảo vệ truyền thống, có khả năng tạo tín hiệu dòng và áp trong phạm vị tần số từ cơ bản đến vài kHz, được sử dụng song song với việc bơm riêng các xung sóng lan truyền như giải thích ở trên. Ví dụ như việc tạo dòng đầu ra của 2 đầu ra dòng điện được đấu nối song song với đầu vào dòng điện của thiết bị bảo vệ được thí nghiệm. Đối với điện áp, việc đấu nối nối tiếp sử dụng bộ biến đổi điện áp cho xung điện áp sóng lan truyền có thể được thực hiện.
Đối với việc mô phỏng một trường hợp sự cố, hợp bộ thiết bị bảo vệ được điều khiển từ phần mềm thí nghiệm đang chạy trên PC, tính toán tín hiệu quá độ điện áp và dòng điện sử dụng thuật toán mô phỏng lưới điện, ví dụ như tại tốc độ lấy mẫu 10kHz. Bên trong phần mềm, cấu trúc liên kết của hệ thống điện được mô hình hóa với đường dây truyền tải, thanh cái và nguồn/ tải. Đối với mô hình đường dây truyền tải, một mô hình RCL gộp đơn giản được sử dụng để tạo đủ tín hiệu thực tế khi xuất hiện sự cố. Tín hiệu cho dòng điện và điện áp có thể trông như Hình 7 tương tự như trong phần mềm thí nghiệm trên PC.

Thông tin về đường truyền sóng lan truyền được suy luận từ một thuật toán riêng. Đối với đường dây truyền tải, chiều dài đường dây và tốc độ truyền của sóng lan truyền đã biết. Từ đó, thời gian truyền chính xác của xung sóng lan truyền tại 2 đầu đường dây, nơi đặt và đấu nối thiết bị bảo vệ, có thể tính toán được. Do đó, cấu trúc liên kết mô hình hóa tương tự được sử dụng trong mô phỏng lưới điện trước đó được sử dụng. Ý tưởng đằng sau mô hình mạng tinh thể Bewley có thể mở rộng thành biểu đồ các nút (thanh cái) và đường dây đấu nối, từ đó, một thuận toán có thể suy luận đường truyền của sóng lan truyền từ một điểm bất kỳ trên cấu trúc liên kết đến tới mọi vị trí của các rơle khác nhau đang được điều tra một cách dễ dàng, bao gồm các phản xạ và thay đổi cực tính tại các điểm nối trên đường dây.
Để bơm tín hiệu đầu ra với các kịch bản thí nghiệm như thế này, thiết bị thí nghiệm phải điều khiển đầu ra với mẫu tín hiệu băng thông (tần số) thấp xếp chồng với các xung sóng lan truyền một cách chính xác. Thời gian của các xung sóng lan truyền phải được căn chỉnh với thời gian xuất hiện sự cố của tín hiệu truyền thống. Do đó, một hợp bộ thí nghiệm khi tạo tín hiệu bị khóa (locked) kèm với đồng hồ tham chiếu bên trong chính xác và có thể điều khiển kích hoạt các xung sóng lan truyền với thời gian chính xác (độ phân giải nano giây), sử dụng một đồng hồ tham chiếu tương ứng. Một giải pháp với việc kích hoạt xung sóng lan truyền sử dụng tín hiệu nhị phân bên ngoài sẽ gây ra thêm sai số về thời gian, có thể được tránh bằng cách sử dụng phương pháp này.
Đối với các thiết bị mà sử dụng nguyên lý sóng lan truyền 2 đầu đường dây, việc tạo tín hiệu vào cả 2 đầu đường dây phải được thực hiện đồng thời và thời gian đồng bộ chính xác phải được thiết lập giữa 2 đầu đường dây. Chúng được miêu tả chi tiết trong [7] và [8] và với sơ đồ thiết lập như trên Hình 8.

Đối với một sơ đồ lắp đặt phân tán với thiết bị thí nghiệm bảo vệ ở cả 2 đầu đường dây, đồng bộ thời gian của hợp bộ thí nghiệm được thực hiện bằng đồng hồ tham chiếu dựa vào GPS nối với thiết bị thí nghiệm bằng cách sử dụng giao thức IEEE 1588 PTP và cung cấp thời gian cấp chính xác trong phạm vi một vài chục nano giây. Cả hai hợp bộ thí nghiệm được điều khiển từ một phần mềm PC duy nhất được điều khiển tại một điểm cuối của đường dây, thực hiện mọi tính toán cho tín hiệu quá độ và mô phỏng sóng lan truyền. Phần mềm thực hiện điều khiển thiết bị thí nghiệm trên cả 2 đầu đường dây sử dụng một kết nối mạng trực tiếp vào trạm biến áp từ xa hoặc thậm chí có thể sử dụng một kết nối đám mây trên mạng Internet.
Việc đưa các tín hiệu quá độ dòng điện và điện áp với tần số lấy mẫu 10kHz và xung sóng lan truyền với thời gian theo thời điểm xuất hiện sự cố trong kịch bản sử dụng cùng một tham chiếu thời gian. Độ lệch (jitter) thời gian các xung sóng lan truyền trong sơ đồ phân tán kiểu này có thể giữ trong vài nano giây thậm chí trong khoảng thời gian dài hơn như được hiển thị trong Hình 9.

Sử dụng phương pháp này có thể thí nghiệm thành công với rơle so lệch đường dây tích hợp chức năng định vị sự cố dựa vào một sóng lan truyền từ 2 đầu đường dây dựa trên các sóng lan truyền dòng điện trong một sơ đồ thí nghiệm đầu cuối (end-to-end). Đối với việc mô phỏng các sự cố tại nhiều địa điểm khác nhau trên đường dây bảo vệ, thay đổi từ 0 đến 100% chiều dài đường dây, rơle thực hiện tính toán chính xác vị trí sự cố chỉ với các sai số nhỏ với phạm vi từ 10 đến 30m. Định vị sự cố dựa vào tổng trở được tiến hành song song trong các rơle và hiển thị với các giá trị tương ứng, mặc dù không phải lúc nào cũng có cùng độ chính xác. Mọi thí nghiệm được thực hiện với cài đặt chỉnh định rơle giống y như lúc rơle vận hành trong trạm biến áp.
Viễn cảnh tương lai
Ngày nay, hầu hết các thiết bị bảo vệ và định vị sự cố phát triển trong trạm biến áp sử dụng các phần tử sóng lan truyền chỉ cho mục đích định vị sự cố. Nhưng với sự phát triển mới của rơle bảo vệ, thế mạnh của sóng lan truyền là nhanh như tốc độ ánh sáng không yêu cầu cửa sổ dữ liệu tương đối dài để tính toán dựa vào pha tin cậy sẽ được sử dụng làm bảo vệ đường dây cho phép tác động với thời gian nhanh chỉ vài ms.
Đối với một quyết định tác động đáng tin cậy trong một rơle bảo vệ, định vị sự cố dựa vào thông tin sóng lan truyền tất nhiên không chỉ nhanh mà còn phải phụ thuộc. Rơle phải phân biệt sự cố trên đường dây bảo vệ với sự cố bên ngoài phạm vi bảo vệ, ví dụ như sự cố trên đường dây phía trước (hướng ngược), sự cố trên dây kế tiếp phía sau rơle ở cuối đường dây và sự cố trên một mạch đường dây song song, được thể hiện như Hình 10.

Để bổ sung một rơle bảo vệ phụ thuộc dựa vào các phần tử sóng lan truyền, phần lớn các phần tử bổ sung sẽ làm việc song song và quyết định tác động được tăng cường với thông tin từ tất cả các phần tử này. Các phần tử rơle dựa vào số lượng tăng dần là lựa chọn tốt được sử dụng cùng với các phần tử sóng lan truyền, vì chúng cũng làm việc trong miền thời gian và có thể cung cấp thông tin sự cố rất nhanh.
Hiện nay, các kênh thông tin giữa các bộ rơle đã có sẵn, dễ dàng cải thiện hơn nữa khả năng bảo vệ đường dây bằng cách sử dụng thông tin cả 2 đầu đường dây. Sơ đồ bảo vệ đầu cuối (end-to-end) và sơ đồ so lệch đường dây có thể được cung cấp thông tin nhanh hơn từ sóng lan truyền nhằm đưa ra quyết định tác động tin cậy sử dụng các kênh truyền thông tin giữa 2 thiết bị bảo vệ. Mặc dù kênh thông tin sẽ gây ra độ trễ bổ sung ít nhất bằng độ trễ truyền của đường dây được bảo vệ. Xem [9] và [10] để biết những phát triển gần đây về cách nhận biết rơle bảo vệ đường dây dựa vào miền thời gian và phần từ sóng lan truyền.
Vận hành thử và thí nghiệm thiết bị trong một trạm biến áp ngày càng trở nên quan trọng hơn với rơle bảo vệ đi cắt máy cắt, hoặc các thiết bị chỉ cung cấp thông tin vị trí sự cố. Các thí nghiệm tích hợp, bao gồm tất cả các phần tử rơle, là bắt buộc và phải thực hiện tại hiện trường trên các thiết bị được lắp đặt trong trạm biến áp. Với sơ đồ bảo vệ sử dụng các kênh truyền thông tin giữa các trạm biến áp, thí nghiệm đầu cuối (end-to-end) sử dụng thiết bị thí nghiệm phân tán cũng được yêu cầu.
Các giải pháp cho thí nghiệm bảo vệ như được mô tả là một giải pháp khả thi cho các phần tử dựa vào sóng lan truyền sẽ phát triển hơn nữa thành một giải pháp tích hợp áp dụng cho bất kỳ rơle nào dựa vào bất kỳ phần tử miền thời gian nào tại hiện trường.Với khả năng mô phỏng nhiều phần tử rơle làm việc phối hợp trong rơle, song song với các đại lượng đặt vào đủ chính xác để kiểm chứng rằng thuật toán hoạt động như mong đợi và rơle được cài đặt chỉnh định chính xác, vận hành thử và thí nghiệm trở nên thuận tiện cho kỹ sư bảo vệ.
Tổng kết
Thí nghiệm và vận hành thử các phần tử sóng lan truyền trong thiết bị bảo vệ và định vị sự cố mẫu là bất khả thi với thiết bị thí nghiệm bảo vệ truyền thống. Sử dụng giải pháp với xếp chồng chính xác các xung sóng lan truyền theo thời gian với bơm điện áp/dòng điện băng thông (tần số) thấp hơn tạo ra một thí nghiệm tích hợp với đối tượng được thử nghiệm gồm tất cả các phần tử rơle đồng thời và không cần phải đấu nối thí nghiệm đặc biệt hoặc cài đặt chỉnh định thí nghiệm lại trong rơle.
Một sơ đồ nhiều hợp bộ thí nghiệm được đồng bộ thời gian cho phép thí nghiệm phân tán trong sơ đồ với toàn bộ thiết bị được thử nghiệm là bắt buộc, vì nguyên lý của hầu hết các phần tử sóng lan truyền trong sơ đồ bảo vệ đường dây được dựa vào thông tin từ cả 2 đầu đường dây sử dụng một kênh truyền thông tin tốc độ cao.
Các phần tử sóng lan truyền và phần tử miền thời gian khác mở ra khả năng cho rơle bảo vệ mới, trong đó có thể vận hành nhanh hơn nhiều cho các thiết bị dựa trên góc pha (phasor). Để thí nghiệm và vận hành thử thiết bị như vậy, yêu cầu thiết bị thí nghiệm mới sử dụng các phương pháp mới như đã trình bày trong thí nghiệm tích hợp.
Để có nhiều thông tin hơn về vấn đề này có thể theo dõi video dưới đây của chúng tôi:
“Field Testing Travelling Wave Protection System“
Tài liệu tham khảo
[1] L. V. Bewley, “Traveling Waves on Transmission Systems”, General Electric Company, Pittsfield, MA, 1933 [2] A. Greenwood, “Electrical Transients in Power Systems”, 2nd ed., John Wiley & Sons, 1991 [3] E. O. Schweitzer, III, A. Guzmán, M. V. Mynam, V. Skendzic, B. Kasztenny, and S. Marx, “Locating Faults by the Traveling Waves They Launch”, 40th Annual Western Protective Relay Conference, Spokane, WA, 2013 [4] E. O. Schweitzer, III, A. Guzmán, M. V. Mynam, V. Skendzic, B. Kasztenny, and S. Marx, “A New Traveling Wave Fault Locating Algorithm for Line Current Differential Relays”, 12th International Conference on Developments in Power System Protection, Copenhagen, Denmark, 2014 [5] E. O. Schweitzer, III, A. Guzmán, M. V. Mynam, V. Skendzic, B. Kasztenny, C. Gallacher, and S. Marx, “Accurate Single-End Fault Location and Line-Length Estimation Using Traveling Waves”, 13th International Conference on Developments in Power System Protection, Edinburgh, UK, 2016 [6] S. Marx, B. K. Johnson, A. Guzmán, V. Skendzic, and M. V. Mynam, “Traveling Wave Fault Location in Protective Relays: Design, Testing, and Results”, 16th Annual Georgia Tech Fault and Disturbance Analysis Conference, Atlanta, GA, 2013 [7] B. Bastigkeit, C. Pritchard, T. Hensler, “New Possibilities in Field Testing of Distributed Protection Systems”, PACWorld Conference, Zagreb, Croatia, 2014 [8] T. Hensler, C. Pritchard, F. Fink, “New Possibilities for Protection Testing using Dynamic Simulations in the Field”, MATPOST Conference, Lyon, France, 2015 [9] E. O. Schweitzer, III, B. Kasztenny, A. Guzmán, V. Skendzic, and M. V. Mynam, “Speed of Line Protection – Can We Break Free of Phasor Limitations?”, 41st Annual Western Protective Relay Conference, Spokane, WA, 2014 [10] E. O. Schweitzer, III, B. Kasztenny, A. Guzmán, V. Skendzic, and M. V. Mynam, “Performance of Time-Domain Line Protection Elements on Real-World Faults”, 42st Annual Western Protective Relay Conference, Spokane, WA, 2015.Nguồn
Bản dịch được thực hiện bởi ENTEC A&T Team với mong muốn chia sẻ kiến thức, tư liệu tham khảo, hỗ trợ nghiên cứu và phát triển.Trong quá trình biên tập có thể có những sai sót không tránh khỏi, bởi vậy chúng tôi rất mong nhận được sự thông cảm, đóng góp cũng như khuyến khích bạn đọc tham khảo bài viết gốc được đăng tại Website chính thức của hãng OMICRON tại link sau :
https://www.omicronenergy.com/download/file/da689e82be79645af3c0dc66e95ddef1/?fbclid=IwAR2ZNsI3U9HcARaH5uVDw8LUpDbG8lZvdfRetwsRHIP9rezbEkXuAFBPQ1Q
Thông tin về tác giả

Dipl.-Ing. (FH) Christopher Pritchard sinh năm 1982 tại Dortmund, Đức. Ông nhận bằng tốt nghiệp chuyên ngành Kỹ thuật điện tại Trường Đại học khoa học ứng dụng tại Dortmund năm 2006. Ông gia nhập Công ty OMICRON electronics năm 2006 nơi ông làm việc trong lĩnh vực phát triển phần mềm ứng dụng giải pháp thí nghiệm cho hệ thống bảo vệ và đo lường.
christopher.pritchard@omicronenergy.com

Dipl-Ing.Heinz Lampl sinh năm 1962 tại Graz, Áo. Ông nhận bằng tốt nghiệp (Thạc sỹ) chuyên ngành Kỹ thuật điện tại Đại học Công nghệ Vienna năm 1986. Anh gia nhập công ty OMICRON electronics năm 1990 nơi ông làm việc trong lĩnh vực phát triển phần cứng cho các hợp bộ thí nghiệm bảo vệ hệ thống điện.

Dipl.-Ing. Thomas Hensler sinh năm 1968 tại Feldkirch/Áo. Ông nhận bằng tốt nghiệp (Thạc sỹ) ngành Khoa học máy tính tại trường Đại học Công Nghệ Vienna năm 1995. Ông gia nhập công ty OMICRON electronics năm 1995 nơi ông làm việc trong lĩnh vực phát triển phần mềm ứng dụng về giải pháp thí nghiện cho hệ thống bảo vệ và đo lường.
Ngoài ra, ông chịu trách nhiệm quản lý sản phẩn cho mảng phần mềm ứng dụng thí nghiệm bảo vệ.
thomas.hensler@omicronenergy.com




