Author: Maik Koch and Michael Krueger-Omicron Electronics Austria
Abstract
This paper discusses approaches to measure moisture in power transformers using dielectric response methods and equilibrium diagrams. Moisture in oil-paper insulations is a vital status-property for it damages by three mechanisms: It decreases the dielectric withstand strength, accelerates cellulose aging and causes the emission of gaseous bubbles at high temperatures.
In recent years dielectric diagnostic methods have been developed, which derive moisture concentration of the solid insulation from its dielectric properties such as dissipation factor or polarization current. Dielectric response methods provide substantial advantages compared to moisture determination by conventional equilibrium diagrams, for example it is unnecessary to wait for moisture equilibrium. In this article a new method is introduced, which combines measurements in frequency and time domain, and which makes reliable diagnostics possible even for heavily aged insulations.
The second part of this paper deals with equilibrium diagrams applied for moisture determination. Since the conventional application of these diagrams leads to erroneous results, an advanced representation of equilibrium diagrams using relative moisture in oil is introduced. Relative saturation in oil and cellulose provides easy, accurate and continuous measurements and directly reflects the destructive potential of water in oil-paper-insulations.
Examples of onsite moisture determinations compare the new methods to conventional approaches and describe the assessment of moisture analysis results.
Moisture in Oil-Paper-Insulated Transformers
Power transformers represent the most expensive chain links connecting generation to utilization. Due to the cost pressure of a liberalized energy market the utilities shift maintenance from time based to condition based approaches. This development requires reliable diagnostic tools.
Dangerous Effects of Water
Water in oil paper insulations causes three dangerous effects: it decreases the dielectric withstand strength, accelerates cellulose aging and causes the emission of bubbles at high temperatures. Figure 1 (left) illustrates the influence of moisture relative to saturation and acidity on the dielectric withstand strength of oil [1]. Water molecules dissociate themselves and enable acids to dissociate supporting breakdown processes with charge carriers. It is worthy to mention, that breakdown voltage correlates better with moisture saturation [%] than with moisture content [ppm].

Left: Breakdown voltage in oil depending on moisture relative to saturation and total acid number TAN [1] Right: Expected life for solid insulation depending on moisture content and temperature [2]
State of the Art in Moisture Determination
The decision about maintenance actions as for example on-site drying requires knowledge about the actual moisture concentration. State of the art for moisture measurements are equilibrium diagrams, where one tries to derive the moisture in the solid insulation (paper, pressboard) from moisture content in oil (ppm). This method fails for several reasons, where aging of oil and water titration has the major impact. Furthermore Karl Fischer titration suffers from moisture ingress during transportation to the laboratory, different procedures releasing water from the sample leading to unsatisfying comparability of the results [4].
Therefore dielectric diagnostic methods were developed, which deduce moisture in paper and pressboard from dielectric properties of the insulation [5]. These methods promise to give higher accuracy and are designed for onsite moisture determination.
This paper describes a new dielectric diagnostic method that combines time and frequency domain measurements and provides reliable results also for aged transformers. The paper further presents essential improvements on equilibrium diagrams.
Measurement of Dielectric Properties
Dielectric Properties of Insulations
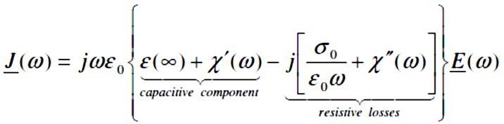
The multilayer insulation of power transformers consisting of oil and paper shows polarization and conductivity phenomena. Dielectric diagnostic methods measure the interfacial polarization effect, which originates from the interfaces between cellulose and oil. Polarization is superimposed by the DC conductivity of cellulose and oil. The resultant total current density in frequency domain J(c) caused by a sinusoidal field strength E(c) can be expressed by (1)
The imaginary part of the current density represents its capacitive component caused by the high frequency part of permittivity ‹ and the low frequency susceptibility 3‘. The real part includes a resistive current due to the DC conductivity a0 and a resistive current due to dielectric losses 3”. The inertia of the dipoles and charge carriers moved by the electrical field cause these dielectric losses.
Moisture, temperature and conductive aging products influence these phenomena. The discrimination of moisture from other effects is a key quality feature for the analysis of dielectric measurements.
Accelerated Measurement of Dielectric Properties
The dielectric response of insulations can be recorded in time domain or in frequency domain. A time domain current measurement records the charging and discharging currents of the insulation. They are also known as Polarization and Depolarization Currents PDC.
Frequency domain measurements are derived from the old known Tangent Delta measurements with a frequency range much enhanced especially to low frequencies. The derived measurement method is called Frequency Domain Spectroscopy FDS.
The combination of time domain polarization current measurements with frequency domain spectroscopy [7] drastically reduces the test duration compared to existing techniques. Essentially, time domain measurements can be accomplished in a short time but are limited to low frequencies (typically below 1 Hz). In contrast, frequency domain measurements are feasible for high frequencies as well but take very long time at low frequencies.
The new instrument acquires data in frequency domain from 5 kHz to 0,1 Hz and in time domain from 0,1 Hz to 100 µHz or less. For further evaluation the time domain data are transformed to frequency domain. Figure 2 (left) illustrates the combination of dielectric measurements in time and frequency domain.
The new technique reduces the time duration of a measurement to 25 % compared to pure frequency domain measurements. For instance, data for 1 kHz down to 0,1 mHz typically need 11 hours for a frequency domain measurement, but less than 3 hours for the new instrument (Figure 2, right). A polarization and depolarization current measurement will need 5,5 h to record data from 1 s to 10000 s which corresponds to 1 Hz to 0,1 mHz.
The time required for the real life measurement at a specific insulation depends on the condition of that insulation. For the succeeding analysis of moisture content the properties of the solid insulation should become visible as explained at Figure 4. Dry or cold insulations require to measure down to very low frequencies, the long durations as in Figure 2 (right) are necessary. Hot or highly conductive insulations require a much smaller frequency range of
e.g. 1 kHz to 0,1 Hz, thus the duration will decrease to a few minutes. For the range of 1 kHz to 1 mHz suitable for most transformers the new system needs 25 min, whereas pure a frequency domain measurement needs 1 h 5 min.


Performance of a Measurement
A dielectric response measurement is a three terminal measurement that includes the output voltage, the sensed current and a guard. The guarding technique insures for an undisturbed measurement even at onsite conditions with dirty insulations or bushings. For two winding transformers, after disconnection from the network, the voltage output can be coupled with the HV winding, the current input with the LV winding and the guard with the tank. It is unnecessary to wait until the transformer cooled down or reached moisture equilibrium.

The new instrument DIRANA features two input channels. They enable for an additional time save for example at three winding transformers. Here the output voltage can be applied on the MV winding, while the input channels are connected to the HV and LV winding (Figure 3). This feature halves the test duration additionally to the time and frequency domain combination.
(To be continued….)




